University of Toronto
July 17, 2023
Part 1
Part 2
Given \(\widehat\theta_1\) and \(\widehat\theta_2\) are two unbiased, consistent estimators for \(\theta\), which would be prefer to use?
It may be preferable to choose the one that varies the least.
The estimator with the smaller variance is said to be more efficient.
If \(\widehat\theta_1\) and \(\widehat\theta_2\) are both unbiased estimators for \(\theta\), then
\(\widehat\theta_2\) is more efficient than \(\widehat\theta_1\) if \(\text{Var}(\widehat\theta_2) < \text{Var}(\widehat\theta_1)\) irrespective of the value of \(\theta\).
The relative efficiency of \(\widehat\theta_2\) with respect to \(\widehat\theta_1\)cc is \(\frac{\text{Var}(\widehat\theta_1)}{\text{Var}(\widehat\theta_2)}\)
Example 1 Given \(X_1, ...,X_n\) iid with \(\mathbb{E}[X_i]=\mu\) and \(\text{Var}(X_i)=\sigma^2\). Which of these unbiased1 estimators of \(\mu\) is preferred? \[ \begin{align*} \widehat\mu_1 = \bar{X} && \widehat\mu_2 = X_1 \end{align*} \]
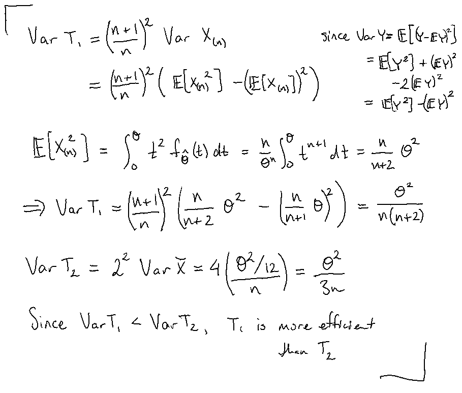
Example 2 Given \(X_1, ...,X_n \overset{iid}{\sim} \text{U}[0,\theta]\). Which of these unbiased1 estimators of \(\theta\) is preferred?
\[ \begin{align*} \widehat\theta_1 = \frac{n+1}{n}X_{(n)} && \widehat\theta_2 = 2 \bar{X} \end{align*} \]
The Cramér-Rao lower bound tells us how small the variance of an unbiased estimator can be.
\[ \text{Var}(\widehat\theta) \geq \frac{1}{n\mathbb{E}\left[ \left( \frac{\partial}{\partial \theta} \ln f_\theta (X)\right)^2\right]} \]
These are called minimum variance unbiased estimators.
How could we do better than minimum variance and unbiased?
Quantifies the difference between an estimator and an estimand, accounting for both bias and variance.
Let \(\widehat\theta\) be an estimator for a parameter \(\theta\). The mean squared error of \(\widehat\theta\) is
\[ MSE(\widehat\theta)=\text{E}\big[(\widehat\theta-\theta)^2 \big] \]
Proposition 1 If \(\widehat\theta\) is unbiased, then \(MSE(\widehat\theta) = \text{Var}(\widehat\theta)\).
Proposition 2 If \(\widehat\theta\) is any estimator \(\widehat\theta\) for \(\theta\), then \(MSE(\widehat\theta)=\text{Var}(\widehat\theta)+\text{Bias}_{\widehat\theta}^2\).
